Skip to content
  • There are no suggestions because the search field is empty.

What are adstock and carryover effects and how can they be modelled?

Introduction

Adstock in marketing describes the phenomenon where advertising continues to influence consumer behavior long after a campaign has concluded, extending beyond immediate or short-term effects.

Take the example of a new smartphone ad campaign. Even after the campaign ends, consumers still visit stores or search online, influenced by the ads they saw. This gradual decrease in impact over time, rather than an immediate drop-off, is what's known as the adstock effect.

The adstock effect varies based on the ad and campaign. Factors like the choice of media, the type of content, and audience engagement can determine whether the adstock effect quickly wanes or lasts longer.

Adstock is a component of the broader carryover effect, which refers to the delay between consumers seeing an ad and responding to it. A gradual decrease in the ad's impact represents one form of this effect. A delayed response is another form. For instance, a company might advertise a sale weeks ahead, but the ad's most significant impact often occurs closer to or during the sale, illustrating the carryover effect. The response can take many forms, depending on factors such as media, audience, and ad content.

Understanding adstock and the carryover effect is therefore crucial for marketers to create effective strategies and accurately assess their marketing efforts. Recognizing these effects can help businesses understand consumer behavior better, leading to smarter decisions and improved marketing results.

The importance of carryover effects (incl. adstock) in marketing measurement

Carryover effects, such as adstock, are essential for understanding the continued impact of marketing efforts. If these effects are overlooked, there's a risk of misattributing sales. This means sales may be inaccurately credited to the concurrent campaign or ad, ignoring the accumulated or delayed influence of previous advertising efforts. This misattribution can lead to skewed results, potentially resulting in budget allocation to campaigns with immediate effects, or to those that happened to benefit most from delayed or accumulated impacts. In the long run, this could undermine marketing performance, harm the brand, and negatively affect long-term sales, especially if brand building is neglected.

Though not always straightforward, carryover effects can be incorporated into various marketing measurement methods:

  1. Attribution Modelling: Attribution modeling involves assigning credit to various touchpoints that lead to a sale. This process often considers potential delays between an event and the final purchase. Generally, if an ad was clicked within seven days of the sale or viewed within one day, it is credited for the sale. However, these models often neglect long-term adstock, particularly from offline media. This neglect can cause the final steps of online marketing to appear more efficient than they are. The emergence of cookie and ad-blocking technologies, coupled with the requirement for user consent for tracking, has made tracking the user journey more complex. Consequently, some steps in the user journey may be left out from modelling.

  2. Marketing Mix Modelling (MMM): MMM provides a comprehensive way to include carryover effects in marketing analysis. By analyzing historical data and marketing inputs over a significant timeframe, MMM can determine how different components contribute to sales, including the delayed effects of marketing activities. It also considers external factors, such as market conditions and competitive actions, and can take advantage of both online and offline marketing data. The modelled carryover effect can be adjusted for different campaigns and media, making it versatile. It also does not rely on the end customer's personal data, making it a more reliable and privacy-conscious method.

Attribution Modelling: Attribution modeling involves assigning credit to various touchpoints that lead to a sale. This process often considers potential delays between an event and the final purchase. Generally, if an ad was clicked within seven days of the sale or viewed within one day, it is credited for the sale. However, these models often neglect long-term adstock, particularly from offline media. This neglect can cause the final steps of online marketing to appear more efficient than they are. The emergence of cookie and ad-blocking technologies, coupled with the requirement for user consent for tracking, has made tracking the user journey more complex. Consequently, some steps in the user journey may be left out from modelling.

Marketing Mix Modelling (MMM): MMM provides a comprehensive way to include carryover effects in marketing analysis. By analyzing historical data and marketing inputs over a significant timeframe, MMM can determine how different components contribute to sales, including the delayed effects of marketing activities. It also considers external factors, such as market conditions and competitive actions, and can take advantage of both online and offline marketing data. The modelled carryover effect can be adjusted for different campaigns and media, making it versatile. It also does not rely on the end customer's personal data, making it a more reliable and privacy-conscious method.

Generally, MMM is better for handling carryover effects due to its holistic approach and long-term analysis. Unlike attribution modelling, which is more granular but short-sighted, MMM studies long-term trends and relationships between marketing inputs and business results. This gives a more accurate evaluation of adstock and carryover effects, ensuring marketing efforts are valued not just for their immediate impact, but also for their ongoing contribution to brand growth and customer engagement.

Incorporating carryover effects into marketing measurement

Carryover effects can be modelled in different ways for marketing measurement. For instance, a study by Google researchers (Jin. et al, 2017) explains how adstock can be integrated into marketing mix modelling. The authors suggest transforming the media spend time series for a channel so that for each week, the media spend is a weighted average of the current week and the previous L-1 weeks.

Here,

  • x_(t-L+1,m) is the advertising expenditure at time t-l for media channel m.

  • w_(m(l)) represents the weight function, indicating the changing impact of advertising over time.

  • L is the maximum duration of the carryover effect in weeks, after which the ad's influence is negligible.

x_(t-L+1,m) is the advertising expenditure at time t-l for media channel m.

w_(m(l)) represents the weight function, indicating the changing impact of advertising over time.

L is the maximum duration of the carryover effect in weeks, after which the ad's influence is negligible.

The weight function can take many forms depending on factors such as media, audience, and ad content. Google researchers used in their article two commonly applied functions: geometric and delayed. However, almost any type of function can be used depending on the context, and selecting the function should be done with care when modeling adstock. The modelling granularity also does not have to be weekly but can also be done even daily or hourly depending on the available data.

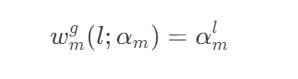
Geometric adstock function

Here, α_m^l is the retention rate of ad effect of the m-th media in week l.

This function assumes that the ad's highest impact occurs immediately and then decays geometrically, based on a retention rate α_m that is less than 1. For instance, if α_m is 0.5, the ad spend weight decreases by half each subsequent week.

Example of transformed media spend with geometric adstock

  1. L is 3 weeks.

  2. Campaign spend over three weeks is:

    1. week 1 (first week): $1500

    2. week 2: $1000

    3. week 3 (last week): $500

  3. Retention rate α_m is 0.5, meaning that α_m^l takes the following values:

    1. week 1 (first week): 0.25

    2. week 2: 0.5

    3. week 3 (last week): 1

L is 3 weeks.

Campaign spend over three weeks is:

  1. week 1 (first week): $1500

week 1 (first week): $1500

  • week 2: $1000

week 2: $1000

  • week 3 (last week): $500

week 3 (last week): $500

Retention rate α_m is 0.5, meaning that α_m^l takes the following values:

  1. week 1 (first week): 0.25

week 1 (first week): 0.25

  • week 2: 0.5

week 2: 0.5

  • week 3 (last week): 1

week 3 (last week): 1

Then, the transformed media spend in the third (last) week would be.

As we can see, the final third week of the campaign benefits from the advertising efforts of the past two weeks as the media spend used in modelling is transformed from $500 to $785.71.

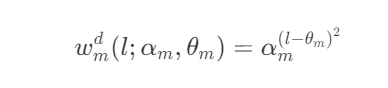
Delayed adstock function

Here, θ_m is the peak effect's delay.

This function assumes that the advertising's impact happens later and is evenly distributed on both sides of the peak date. This can happen, for example, if the advertised promotion only happens after the campaign.

Adstock weight functions visualized

Below are examples of adstock weight functions over time, with a retention rate α_m of 0.8 and peak effect θ_m of 5. The x-axis represents the delay (in days, weeks, months or in any other time unit).

References

Jin, Yuxue, Yueqing Wang, Yunting Sun, David Chan, and Jim Koehler. "Bayesian methods for media mix modeling with carryover and shape effects." (2017). https://research.google/pubs/bayesian-methods-for-media-mix-modeling-with-carryover-and-shape-effects/