Skip to content
  • There are no suggestions because the search field is empty.

Diminishing Returns of marketing

What are Diminishing Returns?

Diminishing returns in Marketing Mix Modelling refer to the phenomenon where an additional euro/dollar invested into a certain media doesn't bring back as much in incremental sales as the previous euro/dollar did. The strength of this effect depends on many factors, such as the media being used, campaing type, what is being advertised etc.

Why are media returns diminishing?

Diminishing returns in the real world can result from various factors. Examples:

  • Diminishing returns in Frequency: Showing the same ad to the same audience multiple times will have a diminishing effect. As an example, investing more in TV ads after a certain point could result the same people seeing the same ad more frequently, instead of new people seeing the ad.

  • Diminishing returns in Reach: If you have already shown your ad to the optimal target audience, and increasing your investments means extending your reach to new audiences which are less likely to respond to the ads, your additional investments will have lower ROI. Audience limitations might be reached for example in situations where ad inventory is limited (display ads, search ads etc.)

Diminishing returns in Frequency: Showing the same ad to the same audience multiple times will have a diminishing effect. As an example, investing more in TV ads after a certain point could result the same people seeing the same ad more frequently, instead of new people seeing the ad.

Diminishing returns in Reach: If you have already shown your ad to the optimal target audience, and increasing your investments means extending your reach to new audiences which are less likely to respond to the ads, your additional investments will have lower ROI. Audience limitations might be reached for example in situations where ad inventory is limited (display ads, search ads etc.)

How to read a diminishing return chart?

The diminishing return effect can be illustrated with a diminishing return chart, which is also referred to as diminishing return curve or advertising response curve. Below is an example of a diminishing return chart from Sellforte. On the x-axis you can see the weekly investments to a certain media, and on the y-axis you can see the incremental sales that the investment brings. From this chart we can see that incremental sales increase almost in a linear fashion until 2-3kEUR of weekly investments, but the incremental sales for each euro invested after that starts to be smaller and smaller, meaning that the marketing activity starts to saturate.

Diminishing Returns in Marketing Mix Modeling

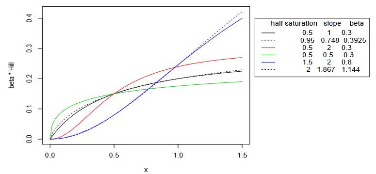
Diminishing returns are critical to take into account in Marketing Mix Models to arrive at accurate results. There are several ways for estimating the shape of the diminishing return effect. In their introductory MMM article, Jin et al. (2017), share a pharmacology-based Hill-function as one alternative for defining the shape of the diminishing return effect:

Using the Hill function, various shapes can be achieved for the diminishing return effect. Below are some examples from the aforementioned article. While the benefit of the Hill function is the ability of creating various different diminishing return curve shapes, the downside is that it creates more instability to the model by allowing also shapes that might not make real-world sense.

Another approach used in Marketing Mix Modeling is the exponential curve:

Exponential curve only gives out concave curves, such as in the picture below. The main assumption in the exponential curve is that the returns of marketing are diminishing (not increasing) in each points of the curve.

Diminishing return function parameter estimation as part of model training can be done in various ways, and is typically part of the intellectual property of each Marketing Mix Modeling vendors. For public approaches, one can review for example Meta Robyn's documentation.